Widerspruch gegen den Bescheid vom 24.09.2025, Bürger-Nummer xxxxx
Sehr geehrte Damen und Herren,
hiermit lege/n ich/wir fristwahrend Widerspruch gegen den oben genannten Bescheid vom 24.09.2025 ein.
Zur Begründung verweise/n ich/wir allgemein und ohne inhaltliche Wiederholung auf meine/unsere bereits eingereichten Widerspruchsschreiben, die im Rahmen des Ausbaus der Verkehrsanlagen vorliegen, und halte/n diese vollumfänglich aufrecht. Dies gilt insbesondere für die dort bereits dargelegten rechtlichen und formellen Einwendungen sowie die prozessualen Hinweise.
Ich/wir behalte/n mir/uns vor, die Begründung nach Akteneinsicht und ggf. weiterer rechtlicher Prüfung zu ergänzen und zu vertiefen.
Bitte bestätigen Sie mir/uns den Eingang dieses Widerspruchs schriftlich. Das Schreiben übersende/n ich/wir per Einschreiben oder an die rechtsverbindliche E-Mail-Adresse: vg.rhein-selz@poststelle.rlp.de.
Mit freundlichen Grüßen
21. September 2025
Vorschlag zur Formulierung der Mitteilung an die VG zur Weiterverfolgung des Widerspruchs gegen den Ausbaubeitragsbescheid vom xx.xx.2024 – Ausbaumaßnahme Frankenstraße und Mühlweg(1). Es genügt eine E-Mail an die Rechtsverbindliche E-Mail-Adresse der VG: vg.rhein-selz@poststelle.rlp.de
Sehr geehrte Damen und Herren,
ich/wir beziehe/beziehen mich/uns auf Ihr Schrieben vom xx.xx.2025 und teile/teilen ihnen hiermit mit, dass ich/wir den Widerspruch weiterverfolgen.
Bitte bestätigen Sie dieses Schreiben.
Mit freundlichen Grüßen
Name, Vorname, Bürger-Konto
Nachdem die VG Änderungsbescheide verschickt hat und darin die Baumaßnahme konkret benannt wurde, haben wir den folgenden Widerspruchsentwurf verfasst. Der Entwurf MUSS entsprechen Ihren Daten und Bürgernummern (Fettdruck) angepasst werden. Ebenso bezüglich der Eigentümer mein/unser oder ich/wir. Der letzte Satz zur Mandatierung eines Rechtsanwalts ist optional und kann bei nicht zutreffen gestrichen werden. Die Frist ist nun leider etwas kurz, das Schreiben sollte zur Sicherheit am Freitag den 30.08.2024 bei der VG Rhein-Selz eingehen. Wir Empfehlen daher, vor Ablauf eines Monats ab Eingang des Änderungsbescheides gegenüber der VG klarzustellen, dass sich Ihr Widerspruch nunmehr auf den Bescheid vom 09.07.2024 in der Fassung des Änderungsbescheides vom 30.07.2024 bezieht. Wobei die VG ja selbst in ihrer Widerspruchsbestätigung schreibt: „Ihren Widerspruch berücksichtigen wir ebenfalls für den Änderungsbescheid vom 30.07.2024. Das erneute Einlegen eines Widerspruchs ist nicht notwendig“.
Hier nun der Formulierungsvorschlag:
An die
Verbandsgemeinde Rhein-Selz
Abteilung Einmalige Abgaben, Erschließung
Sant´Ambrogio-Ring 33
55276 Oppenheim
Widerspruch gegen Änderungsbescheid Weinolsheim, 27.08.2024
Bürger-Nummer 123XXX
Sehr geehrte Damen und Herren,
vielen Dank für Ihr Schreiben vom 06.08.2024, mit welchem Sie den Eingang meines Widerspruchs gegen den Betragsbescheid vom 09.07.2024 bestätigen. Wie Sie in diesem bereits zutreffend annehmen, ändert sich in Folge des zwischenzeitlichen Erlasses des Änderungsbescheides vom 30.07.2024, der sich lediglich auf Fälligkeit und Zahlungstermine bezieht, an unserem Widerspruch gegen den Beitragsbescheid vom 09.07.2024 – nunmehr in der Fassung des Änderungsbescheides – nichts. Zur Begründung tragen wir einstweilen folgendes vor.
Zunächst ist darauf hinzuweisen, dass der Bescheid nicht nur die Festsetzung der Fälligkeit der Ratenzahlungstermine ändert, sondern erstmalig auch konkret die Maßnahme (...Ausbaumaßnahme Frankenstraße und Mühlweg...) benennt. Die Rechtsgültigkeit der beiden Bescheide wird daher in Frage gestellt.
Infolgedessen wird die Rechtmäßigkeit des zugrunde liegenden Bauprogramms für den Mühlweg bestritten. Der die Ausbaumaßnahme Mühlweg einleitende Beschluss des Gemeinderats Weinolsheim vom 29.11.2021 ist ungültig, da der Grundsatzbeschluss zum Ausbau des Mühlwegs vom Gemeinderat zu keinem Zeitpunkt getroffen wurde. In der ablehnenden Begründung des Bürgerbegehrens vom 08.02.2024 führt die VG Rhein-Selz selbst aus:
„In der Rechtsprechung wird bei der Beantwortung der Frage, welche Gemeinderatsbeschlüsse zum Gegenstand von Bürgerbegehren gemacht werden können, zwischen Grundsatzbeschlüssen und Projektbeschlüssen sowie sogenannten Konzeptbeschlüssen unterschieden. Grundsatzbeschlüsse leiten ein Projekt in dem Sinne ein, dass sie "weichenstellend" sind und Projektbeschlüsse geben für die Verwirklichung einer Maßnahme "grünes Licht“.
Der Grundsatzbeschluss zum grundhaften Ausbau des Mühlwegs wurde nie gefasst. Der Beschluss vom 25.08.2020 in der Sitzung des Gemeinderats lautet wie folgt: “...Die Gemeinde Weinolsheim beschließt im Grundsatz den grundhaften Ausbau der Frankenstraße, die Kosten belaufen sich...“.
Es ist vollkommen unerheblich, ob dieser substantielle Mangel auf eine nicht korrekte Beschlussempfehlung der VG-Verwaltung zurückzuführen ist oder ein redaktionelles Versehen. Fakt ist keines der 12 Gemeinderatsmitglieder und auch nicht die Ortsbürgermeisterin Frau Wagner haben die zur Abstimmung gestellte Beschlussempfehlung hinsichtlich des Mühlwegs geändert oder ergänzt.
Es wäre, hätten die Mitglieder des Gemeinderats wissentlich und willentlich den Grundsatzbeschluss auch für den Mühlweg fassen wollen, jedem Gemeinderatsmitglied und auch der Ortsbürgermeisterin möglich gewesen, die Beschlussvorlage um den Mühlweg zu ergänzen und so einen eindeutigen protokollierten Beschluss zum Mühlweg und zur Frankensttraße hätte herbeiführen können.
Die eindeutige Willensbekundung zum grundhaften Ausbau des Mühlwegs durch den Gemeinderat ist somit nicht bekundet, in der Folge ist den Ausführungen der Verwaltung zum Bürgerbegehren folgend das Bauprogramm als Projektbeschluss für den Mühlweg unwirksam.
Vielmehr hat die Gemeindeverwaltung in Kenntnis der Abgrenzungsproblematik des Mühlwegs hinsichtlich einer gewidmeten Gemeindestraße und eines landwirtschaftlichen Wirtschaftsweges offensichtlich und explizit auf den Grundsatzbeschluss zum Mühlweg verzichtet, da die Gefahr bestand, dass die Kosten der Straßenerneuerung sodann über die Satzung zur Erhebung wiederkehrender Beiträge für Feld-, Weinbergs- und Waldwege hätte abgerechnet werden müssen.
Die Abgrenzungsproblematik war in jeder Sitzung sowohl in den Ausschusssitzungen vom 20.07.2020 und vom 18.08.2020 als auch in der Gemeinderatssitzung vom 25.08.2020 besprochen aber nie gelöst worden. Vielmehr ist, selbst beim vorliegen einer Widmungsvermutung und Berücksichtigung des Dorferneuerungsprogramms aus den neunziger Jahren die Widmung maximal bis zur Einmündung der Frankenstraße gegeben. Dies belegt die Aussage der Ortsbürgermeisterin zum Widmungsbeschluss (vergl. Protokoll der Gemeinderatssitzung vom 18.07.2022), Zitat: “Frau Ortsbürgermeisterin Wagner informiert über die Historie der Problematik und den erläutert den vorliegenden Vorschlag.“
Genauer betrachtet bedeutet dies, dass das obere Drittel des Mühlwegs eine Gemeindestraße war, wobei die historische Widmung fraglich ist, und die unteren zwei Drittel waren ein Wirtschaftsweg. Deshalb haben die Mitglieder des Gemeinderates und auch die Ortsbürgermeisterin es unterlassen, den Beschlussvorschlag zum Grundsatzbeschluss zu ändern und den Mühlweg explizit mit einzubeziehen.
Besagter Widmungsbeschluss vom 18.07.2022 für den Mühlweg Flurstück 14/111 mit 2138 Quadratmetern Gesamtfläche entspricht nahezu Exakt der dem Bauausschuss am 18.09.2020 vorgelegten Kostenschätzung in welcher mit 2150 Quadratmetern für einen möglichen Ausbau des Mühlwegs kalkuliert wurde. Dies zeigt, dass der Gemeindeverwaltung von Anbeginn der Planungen bekannt war, dass die unteren zwei Drittel des Mühlwegs ein landwirtschaftlicher Wirtschaftsweg waren und sie durch den Grundsatzbeschluss unerlaubt einen Wirtschaftsweg in die Ausbauplanungen einer Gemeindestraße einbezogen hätte.
Über die zuvor dargelegte Begründung wird die grundsätzliche Notwendigkeit des grundhaften Ausbaus des Mühlwegs bestritten. In der Sitzung des Gemeinderats vom 03.03.2020 werden Reparaturarbeiten am Mülhlweg gegenüber Hausnummer 1 beschlossen. Es finden sich wenige Monate vor den Beschlüssen zur Baumaßnahme Frankenstraße keinerlei Hinweise über eine Erneuerungsbedürftigkeit oder Verschlissenheit der Verkehrsanlage Mühlweg, sie ist offensichtlich in einem solch gutem Zustand, dass eine Reparatur gerechtfertigt erscheint. Eine Erneuerungsbedürftigkeit setzt neben dem Ablauf der üblichen Nutzungsdauer voraus, dass die Verkehrsanlage auch tatsächlich abgenutzt ist. Das ist offensichtlich nicht der Fall.
Aus den zuvor genannten Gründen bitte ich außerdem um eine Aufteilung der in den Beitragssätzen des eingangs genannten Bescheides berechneten Kosten nach den jeweiligen Verkehrsanlagen Frankenstraße und Mühlweg. Ich behalte mir ausdrücklich vor, nach rechtlicher Beratung weitere Sachgründe vorzutragen. Die der Beitragserhebung zugrunde liegende Ausbaubeitragssatzung vom 01.04.2022 wird hiermit hilfsweise und unter Verweis auf das Urteil des OVG RLP vom 05.09.2023 Nr. 6 C 10098/23 ebenfalls bestritten.
Ich habe die Angelegenheit nunmehr einem Rechtsanwalt zur Prüfung und Übernahme der Vertretung meiner Interessen übergeben. Dieser wird sich bei Ihnen wegen des weiteren Vorgehens melden. Dieses Schreiben übersende ich Ihnen per Einschreiben. Ich bitte um eine schriftliche Bestätigung des Eingangs.
Mit freundlichen Grüßen
An die
Verbandsgemeinde Rhein-Selz
Abteilung Einmalige Abgaben, Erschließung
Sant´Ambrogio-Ring 33
55276 Oppenheim
Weinolsheim, [Datum]
Widerspruch gegen Beitragsbescheid
Bürger-Nummer [123456]
Sehr geehrte Damen und Herren,
hiermit lege ich/wir gegen den Beitragsbescheid vom [Datum] Widerspruch ein. Die Einlegung des Widerspruchs erfolgt zunächst fristwahrend, da der Bescheid nicht hinreichend bestimmt ist. Ich/Wir behalten uns ausdrücklich vor, nach rechtlicher Beratung weitere Sachgründe vorzubringen.
Zunächst ist darauf hinzuweisen, dass der Bescheid konkret angeben muss, für welche Maßnahme (Ausbau von Verkehrsanlagen) die jeweiligen Beitragssätze erhoben werden. Dies ist im vorliegenden Bescheid nicht erfolgt.
Dieses Schreiben übersende ich/wir Ihnen per Einschreiben. Ich/Wir bitten um eine schriftliche Bestätigung des Eingangs meines/unseres Widerspruchs.
Mit freundlichen Grüßen
Da wir erhebliche Zweifel an der Rechtmäßigkeit der Beitragsbescheide haben und diese durch Musterklagen vor dem Verwaltungsgericht prüfen lassen ist es in jedem Fall ratsam, innerhalb eines Monats Widerspruch einzulegen. Ansonsten wird der Bescheid bestandskräftig und es besteht kein Rechtsanspruch auf Rückzahlung der Beiträge, selbst wenn sich später herausstellt, dass der Bescheid rechtswidrig war. Zu beachten ist, dass der Widerspruch keine aufschiebende Wirkung hat, so dass zur Abwendung der Vollstreckung der Beitrag zunächst unter Vorbehalt gezahlt werden muss. Siehe auch:
Straßenausbaubeitrag Handlungsempfehlungen für Betroffene (vssd.eu)
23. Februar 2024
Der Gemeinderat der Ortsgemeinde Weinolsheim hat auf seiner Sitzung am Montag, den 19.02.2024 unter Anwesenheit des VG-Bürgermeisters Martin Groth und des Büroleiters der VG Rhein-Selz Reinhold Pfuhl nach Anhörung der Initiatoren und vieler Bürger:innen das Bürgerbegehren mittels der Beschlussvorlage der VG Rhein-Selz zurückgewiesen. Die Begründung finden Sie in der Beschlussvorlage weiter unten im Text.
Es ist uns Wichtig noch einmal zu betonen, dass jetzt vermutlich recht schnell die Beitragsbescheide verschick werden und entgegen der Aussagen der Ortsbürgermeisterin Frau Wagner, nur Betroffene die auch Einspruch gegen den Bescheid einlegen von eventuellen Erfolgen klageführender Parteien profitieren. Wir werden ein Muster-Einspruchsschreiben demnächst hier veröffentlichen. Weitere Informationen liefert auch die folgende Homepage.
Zitat: Eine Klage lohnt sich meistens
In der Regel lohnt es sich, gerichtlich gegen einen Beitragsbescheid vorzugehen. Die Erfahrungen aus zahlreichen Prozessen, die der VDGN und der VSSD gemeinsam mit ihren Vertrauensanwälten vorbereitet und begleitet haben zeigen das sehr deutlich. Und – so ist das Verwaltungsrecht – nur wer den Prozess führt, hat in der Regel etwas davon. Der Nachbar, der sich nicht gewehrt hat, geht leer aus.
Straßenausbaubeitrag Handlungsempfehlungen für Betroffene (vssd.eu)
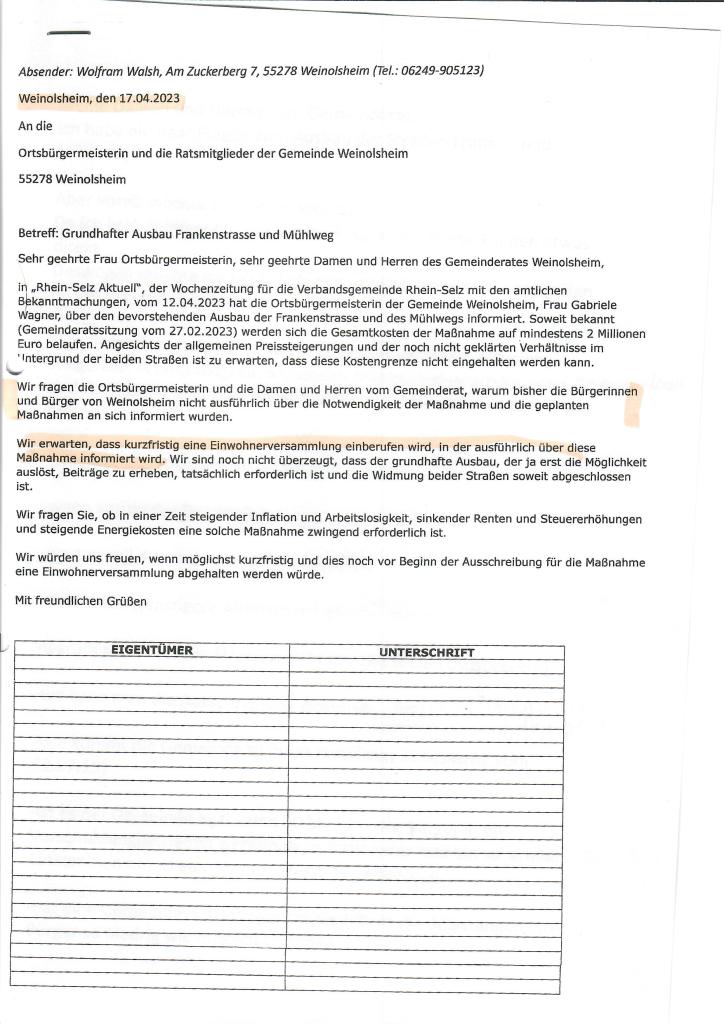
Des weitern widersprechen wir noch einmal nachdrücklich der Darstellung einzelner Ratsmitglieder wonach die Bürger von Weinolsheim ihrer „Holschuld“ in Sachen Informationsbeschaffung nicht ausreichend nachgekommen seien. An dieser Stelle veröffentlichen wir das Schreiben das allen Ratsmitgliedern und der Bürgermeisterin Frau Wagner bereits am 17.04.2023 mit einer Vielzahl von Unterschriften übermittelt wurde. Hierin wird ausdrücklich eine Bürgerinformation noch weit vor der Vergabe und finalen Planung der Bauleistungen eigefordert. Das offensichtliche ignorieren des Bürgerwillens ist ebenso wie das angebliche Verschwinden der Widmungsakte des Mühlweges absolut inakzeptabel und gefährdet noch mehr als bisher den sozialen Frieden in der Gemeinde!

Beschlussvorlage zum Bürgerbegehren der VG Rhein-Selz:
14. Februar 2024:

Widmung das Mühlwegs als Gemeindestraße zum 18.07.2022, Flur 14 Nr. 111 (Quelle: Lanis Geoportal RLP)

22. Januar 2024:
Die VG prüft nun die Unterschriftenliste und reicht danach das Bürgerbegehren an die Ortsgemeindeverwaltung Weinolsheim weiter. Das Anschreiben zur Übergabe finden Sie im hier. Parallel wird darin die Antwort der VG auf formelle Prüfung wiedergegeben. Dieses Schreiben finden Sie weiter unten.
Der Ortsgemeinderat von Weinolsheim wird in einer seiner nächsten Sitzungen die Initiatoren hören und dann abstimmen. Wir informieren weiter über diese Homepage. Derzeit warten wir noch auf eine Stellungnahme der Kommunalaufsicht der Kreisverwaltung Mainz-Bingen, auch darüber werden wir hier informieren.
Und hier das Antwortschreiben der Verbandsgemeindeverwaltung auf unsere Anfrage zur formellen Prüfung des Bürgerbegehrens vom 18.12.2023:
06. Januar 2024:
Die Intransparenz des Verfahrens sowie die VERWEIGERUNG der HERAUSGABE der Planungsunterlagen sind ein weiterer wesentlicher Grund für das Bürgerbegehren. Die folgenden Anträge auf Akteneinsicht wurden bereits am 30.11.2023 gestellt:
Hiermit begehren wir auf Basis des § 2 Abs. 2 i.V.m § 11 Landestransparenzgesetz RLP:
(1) Zweck dieses Gesetzes ist es, den Zugang zu amtlichen Informationen und zu Umweltinformationen zu gewähren, um damit die Transparenz und Offenheit der Verwaltung zu vergrößern.
(2) Auf diese Weise sollen die demokratische Meinungs- und Willensbildung in der Gesellschaft gefördert, die Möglichkeit der Kontrolle staatlichen Handelns durch die Bürgerinnen und Bürger verbessert, die Nachvollziehbarkeit von politischen Entscheidungen erhöht, Möglichkeiten der demokratischen Teilhabe gefördert sowie die Möglichkeiten des Internets für einen digitalen Dialog zwischen Staat und Gesellschaft genutzt werden.
(3) Transparenz und Offenheit sind Leitlinien für das Handeln der Verwaltung. Sie finden ihre Grenzen in entgegenstehenden schutzwürdigen Belangen.
02. Januar 2024:
Das folgende Schreiben ging heute an die Verbandsgemeindeverwaltung Rhein-Selz.
Sehr geehrte Damen und Herren,
wir danken im Namen der Bürger:innen für das Schreiben der Verbandsgemeindeverwaltung Rhein-Selz vom 27.12.2023 (siehe Anhang) und gehen nunmehr davon aus, dass dieses ein Informationsschreiben zu unserer Anfrage #293952 (siehe unten) ist. Dabei ist jedoch zu betonen, dass der Informationspflicht der Verwaltung nur dann genüge getan ist, wenn den Bürgerinnen und Bürgern die Möglichkeit zur Mitgestaltung ausreichend, sowohl zeitlich als auch materiell, gewährt wird.
Es erstaunt uns zutiefst, dass nach mehr als drei Jahren, nach unseren Anfragen und nach Beginn des Bürgerbegehrens Aussagen getroffen wurden, die weder transparent noch nachvollziehbar die Erneuerungsbedürftigkeit der beiden Verkehrsanlagen für die Weinolsheimer Bevölkerung belegen können. Daher werden wir in den kommenden Tagen ausführlich dazu Stellung beziehen und machen in diesem Zusammenhang nochmals auf die Anträge (siehe unten) zur Akteneinsicht aufmerksam. Beachten Sie jedoch bereits jetzt, dass das Bürgerbegehren das Quorum bereits nach kurzer Zeit erreicht hat – zahlreiche Weinolsheimerinnen und Weinolsheimer sind bereit, die Forderung des Bürgerentscheids zu unterstützen.
Ein kurzer Hinweis, der so in Ihren Protokollen nachzulesen ist, vorab: Auf der initiierenden Sitzung des Ausschusses für Bauen der Ortsgemeinde Weinolsheim, wird am 20.07.2020 nur die Frankenstraße mit einem geschätzten Bauvolumen von 1,09 Mio. Euro vorgelegt. Keine Begründung, kein Gutachten, keine fachlich- oder sachliche Expertise der Erneuerungsbedürftigkeit der Straße aber ein Hinweis; Zitat: „Frau Wagner wird bezüglich des Mühlweges recherchieren, wo der landwirtschaftliche Weg beginnt. Sie bittet in den Fraktionen um Beratung, ob der Ausbau der Frankenstraße grundsätzlich angegangen werden soll.“
Am 20.08.2020, vier Wochen später, hatten die sechs Ausschussmitglieder vier davon Landwirte für die der Mühlweg laut Frau Wagner eine der beiden Hauptzufahrten zu den landwirtschaftlichen Fluren darstellt (Zitat vom 18.11.2023) beraten, und sind zu der Überzeugung gelangt, der Mühlweg solle auch vollständig erneuert werden. Neues geschätztes Bauvolumen 1,78 Mio. Euro, Beschluss (zur Frankenstraße) einstimmig gefasst.
Fragt sich der Bürger, hätten die Ausschussmitglieder darüber aufgrund ihrer offensichtlichen Befangenheit als Anlieger überhaupt abstimmen dürfen, wer hat die Erneuerungsbedürftigkeit des Mühlweges festgestellt und warum werden die dazu erforderlichen Dokumente nicht offengelegt. Ein Blick in Ihre eigenen Unterlagen zeigt, wie das Amt für Brauen und Umwelt auf Anfrage mitteilt, der Mühlweg wurde im Rahmen des zitierten Dorferneuerungsprogramms von 1992-1994 bereits einer Erneuerung unterzogen.
Als Verbandsgemeindeverwaltung gehört es zu Ihren Pflichten, den Bürger:innen als bürgernahe und serviceorientierte Verwaltung beratend und unterstützend zur Seite zu stehen. Aus Gründen der Kosten- und Risikominderung appellieren wir daher im Sinne einer kooperativen Verwaltung an Sie, das Verfahren der Beitragsbescheide auszusetzen, bis eine abschließende Klärung der Sachverhalte erfolgt ist.
Die eklatanten Versäumnisse im Planungsprozess der Ortsgemeinde Weinolsheim spiegeln sich in dem eilig und einer Verbandsgemeindeverwaltung unwürdig verfassten Schreiben wider. Daher bitten wir gleichzeitig die Kommunalaufsicht der Kreisverwaltung, im Rahmen ihrer rechtlichen Möglichkeiten behilflich zu sein.
Mit freundlichen Grüßen
29. Dezember 2023:
Heute haben viele Bürger in Weinolsheim ein Informationsschreiben der Verbandsgemeinde Rhein-Selz erhalten. Das Schreiben kommt über drei Jahre zu spät und ist als Reaktion auf das Bürgerbegehren zu sehen. Daher veröffentlichen wir hier nun das Hilfeersuchen der Initiatoren vom 05. Dezember 2023 an die Kommunalaufsicht der Kreisverwaltung Mainz-Bingen. Diese hat die VG Rhein-Selz inzwischen um Stellungnahme gebeten.
Das Informationsschreiben enthält einige Darstellungen die nach derzeitigem Kenntnisstand nicht stimmen. So wurde nach Auskunft des Amtes für Bauen und Umwelt der VG Rhein-Selz der Mühlweg im Rahmen des Dorferneuerungsprogramms 1992-1994 bereits erneuert. Auch beträgt die übliche Nutzungsdauer von Wohnstraßen mindestens 30 Jahre.
Ebenso ist die Kostenerhöhung im Bauprogramm bereits eingeplant. In der Unterrichtungsvorlage heiß es, Zitat: „Die Abrechnungs Summen können Baubedingt von der Auftrags Summe abweichen.“ Damit wird die Überschreitung der ursprünglich geplanten Bausumme von rund 2.000.000 Euro (zwei Millionen) vorprogrammiert, denn wir alle wissen, es wir immer teurer. Das heißt, bei einer Grundstücksgröße von ca. 1.000qm werden Sie am Ende mit über 10.000 Euro zur Kasse gebeten!
Im diesem Schreiben machen wir die Kommunalaufsicht auf die Versäumnisse im Planungsprozess aufmerksam und erbitten Amtshilfe.
29. Dezember 2023:
Da das Informationsschreiben der Verbandsgemeinde Rhein-Selz nur an die Grundstückseigentümer ging, veröffentlichen wir es für alle:
23. Dezember 2023:
Demnächst werden die Initiatoren bei den Bürgerinnen und Bürgern in Weinolsheim um Unterstützung bitten indem sie die Unterschriften an den Haustüren und auf den Straßen sammeln. Dabei werden Sie weitere Hintergrundinformationen erhalten. Bei Fragen können Sie sich gerne an die Initiatoren wenden.
Bürger:innen können sich auch bei den Initiatoren Wolfram Walsch, Am Zuckerberg 7 und Thomas Hock, Lettengasse 9 in die Liste eintragen.
Bürgerbegehren “Weinolsheim, Frankenstraße/Mühlweg“ gemäß § 17a der Gemeindeordnung Rheinland-Pfalz
Die Unterzeichnenden beantragen einen Bürgerentscheid gemäß § 17a Abs. 1 der Gemeindeordnung
Rheinland-Pfalz (nachfolgend GemO RLP) zur folgenden Fragestellung:
„Soll die Gemeinde Weinolsheim das laufende Bauprogramm zur Erneuerung (grundhafter
Ausbau) der Frankenstraße und des Mühlwegs einstellen, indem sie ihren Beschluss vom
20.11.2023 (Vorlage 064/2023/0026) zur Erhebung von Vorausleistungen (wiederkehrende
Beiträge) auf den Ausbaubeitrag für die Straßenbaumaßnahme aufhebt“
Begründung:
Die Aufhebung des zuvor genannten Beschlusses entzieht dem Bauprogramm Frankenstraße/Mühlweg die Finanzierungsgrundlage, da die Verbandsgemeindeverwaltung in der Folge zunächst keine rechtskräftigen Bescheide zur Festsetzung der Beitragsleistung erlassen kann. Da ein Bürgerbegehren gegen einen Beschluss des Gemeinderats nur innerhalb von vier Monaten nach der Beschlussfassung eingereicht werden kann (§ 17a Abs. 3 Satz 1, 2.Hs. GemO RLP), soll der letzte Beschluss vom 20.11.2023, welcher die Finanzierungsgrundlage des Bauprogramms bildet, über diesen Bürgerentscheid aufgehoben werden. Anschließend soll in einem zweiten Bürgerentscheid über das weitere Vorgehen, insbesondere ob eine Erneuerung (grundhafter Ausbau) notwendig ist, entschieden werden.
Nach Ansicht der Vertretungsberechtigten (siehe unten) wurde das Bauprogramm geplant, ohne dass
die in § 15 GemO RLP definierte Unterrichtung- und Beratungspflicht der Gemeindeverwaltung ausreichend berücksichtigt wurde.
Des Weiteren wurde die Feststellung der Erneuerungsbedürftigkeit der Frankenstraße und des
Mühlwegs nach derzeitigem Kenntnisstand nicht ausreichend gutachterlich geprüft; Alternativen wie
eine Reparatur, deren Kosten von der Gemeinde zu tragen wären, wurden vollständig außer Acht gelassen.
Kostendeckungsvorschlag:
Der vorläufiger Kostendeckungsvorschlag, §17a Abs. 6 GemO RLP wurde der Verbandsgemeindeverwaltung Rhein-Selz am 05.12.2023 übermittelt. Durch die geforderte Unterlassung ergeben sich keine Kosten.
Vertretungsberechtigte:
Berechtigt, die Unterzeichnenden zu vertreten, sind:
Wolfram Walsch , Am Zuckerberg 7, 55278 Weinolsheim
Heinz Günter Zimmer, Brochonstraße 3, 55278 Weinolsheim
Thomas Hock, Lettengasse 9, 55278 Weinolsheim
Infoseite des Bürgerbegehrens: www.weinolsheim.info
Die Quellen sind jeweils angegeben, im wesentlichen entstammen sie dem Ratsinformationssystem der VG Rhein-Selz. Dort findet man sämtliche Protokolle und Beschlüsse aus den das Dokument erstellt wurde. Die Chronologie zeigt Versäumnisse im Planungsprozess sowie die ungenügende Beteiligung der Bürgerinnen und Bürger.
Die Gemeindeverwaltung ist nach § 15 Gemeindeordnung Rheinland-Pfalz dazu verpflichtet, die Bürger:innen zu informieren und zu beraten. Das ist nicht erfolgt:
§ 15 GemO – Unterrichtung und Beratung der Einwohner
(1) Die Gemeindeverwaltung hat die Einwohner über wichtige Angelegenheiten aus dem Bereich der örtlichen Verwaltung in geeigneter Form zu unterrichten.
(2) Die Gemeindeverwaltung soll im Rahmen ihrer rechtlichen und tatsächlichen Möglichkeiten die Einwohner in Angelegenheiten ihres Aufgabenbereiches beraten sowie über Zuständigkeiten in Verwaltungsangelegenheiten Auskünfte erteilen.
Die Intransparenz des Verfahrens sowie die VERWEIGERUNG der HERAUSGABE der Planungsunterlagen sind ein weiterer wesentlicher Grund für das Bürgerbegehren, denn die Feststellung der Erneuerungsbedürftigkeit der Frankenstraße und des Mühlwegs wurde nach derzeitigem Kenntnisstand nicht ausreichend gutachterlich geprüft; Alternativen wie eine Reparatur, deren Kosten von der Gemeinde zu tragen wären, wurden vollständig außer Acht gelassen.
Daher wurden die folgenden Anträge auf Akteneinsicht gestellt:
Auszug aus dem Protokoll der Sitzung des Bauausschusses der Ortsgemeinde Weinolsheim vom 18.08.2020:

Die Informationen und rechtlichen Hinweise, die auf dieser Webseite/Plattform/Veröffentlichung bereitgestellt werden, dienen ausschließlich allgemeinen Informationszwecken und stellen keine Rechtsberatung dar. Obwohl wir uns bemühen, genaue und aktuelle Informationen bereitzustellen, übernehmen wir keine Garantie für die Vollständigkeit, Richtigkeit oder Aktualität der bereitgestellten Inhalte.
Es wird ausdrücklich darauf hingewiesen, dass die Nutzung der bereitgestellten Informationen auf eigene Gefahr erfolgt. Die Informationen ersetzen nicht die professionelle Beratung durch einen zugelassenen Rechtsanwalt oder einen anderen qualifizierten Rechtsexperten, der die speziellen Umstände Ihres Falles prüfen und entsprechende rechtliche Beratung bieten kann.
Wir übernehmen keine Haftung für Verluste oder Schäden, die direkt oder indirekt aus dem Vertrauen auf die Informationen dieser Webseite/Plattform/Veröffentlichung entstehen. Dies schließt, ohne darauf beschränkt zu sein, entgangene Gewinne, Geschäftsunterbrechungen und Datenverlust ein.
Für rechtliche Beratung und verbindliche Rechtsauskünfte empfehlen wir, sich an einen zugelassenen Rechtsanwalt oder eine andere qualifizierte rechtliche Fachkraft zu wenden.